Nuevas Penalizaciones por Energía Reactiva Capacitiva Circutor
jueves, 26 de noviembre de 2020
viernes, 20 de noviembre de 2020
miércoles, 18 de noviembre de 2020
domingo, 15 de noviembre de 2020
viernes, 13 de noviembre de 2020
miércoles, 11 de noviembre de 2020
lunes, 9 de noviembre de 2020
SCELE: Cambio de fecha de examen grupo B.
SCELE: Cambio de fecha de examen grupo B.
Se retrasa 10 días el examen, del lunes 23 de noviembre al jueves 3 de diciembre a 5ª (PIICT, hora cedida) y 6ª hora en el aula Y21.
domingo, 8 de noviembre de 2020
INDUCCIÓN ELECTROMAGNÉTICA.
1.- Faraday –Henry. Inducción
electromagnética, la generación de corriente eléctrica inducida por un campo
magnético variable. Condiciones:
1.1.- Cuando existe movimiento
relativo entre el imán o electroimán y la espira, la corriente en el circuito
será mayor cuanto mayor es la velocidad del movimiento.
1.2.- Sin haber desplazamiento,
también se observan corrientes inducidas, bien por variar la intensidad de la
corriente o al variar la superficie del circuito inducido expuesta al campo (al
modificar su forma o al hacerlo girar).
1.0.- Lo común a ambos casos es
que existe variación del número de líneas de campo magnético (ɸ)
que atraviesan el circuito (espira, bobina…) y cuanto mayor es en el transcurso
del tiempo mayor la diferencia de potencial de la corriente inducida, llamada
fem.
fem, fuerza electromotriz,
representa el trabajo realizado para transportar la unidad de carga positiva a
lo largo del conductor. Equivale a la cantidad de energía que el generador es
capaz de transferir a la unidad de carga que se mueve por el circuito

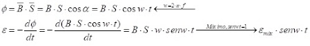
(*) El valor de la fuerza
electromotriz inducida en un circuito es igual y de signo opuesto a la rapidez
con que varía el flujo magnético a través de la superficie limitada por el
mismo, independiente de las causas que provoque la variación del flujo. N =
número de espiras
Recapitulando:
.- Toda variación del flujo de
un campo magnético externo que atraviesa un circuito cerrado produce en éste
una fem inducida y, por tanto, una corriente eléctrica inducida que se opone a
esa variación.
.- La corriente inducida es
una corriente instantánea, pues sólo dura mientras dura la variación de flujo.
.- Toda corriente de
intensidad variable que circule por un conductor crea un campo magnético
variable en torno al propio conductor, campo que induce una fem en el propio
conductor y, por tanto, una corriente inducida que se opone a la variación que
la produce, autoinducción.
El generador de corriente alterna
(alternador) más simple consiste en una espira que gira con rapidez angular
constante en el interior de un campo magnético uniforme producido por un imán
o electroimán.
Los aparatos de medida detectan un valor eficaz para la corriente alterna que equivale al 71% del valor máximo: ε=εmáx/√2




